Produktkatalog - download

deutsch   
english   

Korrekturen zum Katalog

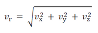
Seite 13

Die Formel für die resultierende Verformung lautet:

Seite 29

Flachband-Klemmfugenbänder, beidseitig klemmbar Reihe FK:

Die Typen FK 700 und FK 1000 entsprechen nicht der DIN 7865 und sind nicht lagermäßig verfügbar.

Seite 44

innenliegende Arbeitsfugenbänder Reihe A, Werksnorm:

 Typ A19: Das korrekte Maß „b“ ist 70mm